Тема: Додавання і віднімання дробів з різними знаменниками.
Мета: продовжувати формувати вміння застосовувати правила додавання і віднімання раціональних дробів із різними знаменниками до розв"язування вправ.
Шановні 8-класники!
Сьогодні усі ми знаходимося в умовах дистанційного навчання. Погоджуюся, важко! Усім важко!
Вчителю потрібно організувати урок, дібрати так матеріал, щоб було доступно кожному і зрозуміло. І мало хто знає скільки часу йде на таку організацію!
Учням також важко, бо потрібно заставити себе коханого і напружитися, щоб опрацювати урок і здобути нові знання. Але ж ми справимося з викликом долі!? Я в вас вірю.
Нагадаємо алгоритм додавання та віднімання дробів із різними знаменниками.
1) Знаменники дробів розкласти на множники;
2) Знайти найменший спільний знаменник дробів;
3) Звести дроби до спільного знаменника;
4) Додати або відняти отримані дроби;
5) Спростити результат, якщо це можливо.
2) Знайти найменший спільний знаменник дробів;
3) Звести дроби до спільного знаменника;
4) Додати або відняти отримані дроби;
5) Спростити результат, якщо це можливо.
Пропоную для повторення переглянути відео-пояснення з даної теми:
Ось ще одне пояснення:
Пропоную розглянути кілька вправ з даної теми, що зустрічалися на ЗНО з математики в різні роки (взято з сайту
https://zno.osvita.ua/mathematics/tag-racionalni_irracionalni_stepenevi_virazi/ )
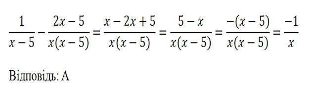
Завдання 1.
Розв"язання:
Завдання 2.
Розв"язання:
Розв"язання:
Завдання 4.
Розв"язання:
Домашнє завдання: виконати № 116, для достатнього і високого рівня розв"язати завдання із ЗНО:

Звіти надсилати на електронну скриньку вчителя до вівторка 20 жовтня до 8 години.
Успіхів у навчанні і подоланні труднощів!







Немає коментарів:
Дописати коментар