Мета: сформувати вміння розв"язувати системи двох лінійних рівнянь із двома змінними способом підстановки.
Шановні 7-класники!
На минулому уроці ми навчалися розв"язувати системи двох лінійних рівнянь із двома змінними графічним способом.
Також записали умови відношень коефіцієнтів при змінних х та у, які можуть вказати на кількість розв"язків системи.
1. Перевіримо виконання домашньої роботи № 1020.
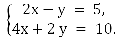
Скільки розв"язків має система рівнянь:
Звертаю вашу увагу на те, що будувати графіки рівнянь нас не просять, значить і не треба.
а)
Запишемо відношення коефіцієнтів при х, у та вільних членах і порівняємо ці відношення: Так як відношення при змінних х та у не рівні, то система має один розв"язок.
в) Запишемо відношення коефіцієнтів при х, у та вільних членах і порівняємо ці відношення:
Розглянемо ще одну систему. Знайдемо кількість розв"язків системи:
Запишемо відношення коефіцієнтів при х, у та вільних членах і порівняємо ці відношення:
Отже, система розв"язків не має.
Отже, система розв"язків не має.
2. Сьогодні ми навчатимемося розв"язувати системи двох лінійних рівнянь із двома змінними способом підстановки.
Спочатку навчимося виражати одну змінну через іншу.
Перегляньте відео. Запишіть вправу в зошит. Розберіться!
Перегляньте відео, виконайте записи у зошиті.
Можливо, цей спосіб запису буде більш зрозумілим для вас, шановні учні.
Домашнє завдання: виконати №№ 1053, 1056.
Бажаю успіхів у подоланні труднощів у навчанні!
Електронна адреса вчителя не змінилася!








Немає коментарів:
Дописати коментар